Jan. 16, 2025
聚乙烯、聚丙烯等高分子鏈為非極性結構,并且不含極性基團,使得此類材料表面能較低,有機涂層在其上的附著力較小。為了改善有機涂層在這類基材上的附著力,通常在涂漆前對材料表面進行處理。
等離子體是部分電離的氣體,由電子、離子(正、負離子數相等)、自由基以及原子、分子等高能中性粒子組成。以等離子體處理高分子材料表面,可使分子鏈發生交聯、斷裂、氧化等反應,可引入極性基團,改善材料表面潤濕性和粘結性。等離子體表面處理由于其高效、環保等優點,成為表面處理領域研究的熱點
為了解決有機涂層在汽車用纖維增強聚丙烯復合材料上附著力不高的問題,采用常溫空氣等離子體處理基材表面以提高附著力。
對將經清洗烘干過的復合材料進行等離子體表面處理。將等離子噴槍高度固定為20mm,噴槍移動速度固定為100mm/s,改變等離子處理的次數和功率,測試復合材料表面水接觸角、表面形貌、表面粗糙度的變化,并觀察等離子表面處理后復合材料表面水接觸角隨時間的變化(時效性)。在每個參數下處理3個平行試樣,試板大小為50mm×25mm×3mm。
等離子體表面處理前后復合材料表面形貌的變化
等離子體表面處理前后復合材料的表面形貌如圖1所示,放大倍數為200倍。其中,1次100%是指在材料表面等離子體處理次數為1次,處理功率為最大功率的100%,以此類推。

圖1 等離子體表面處理后復合材料的表面形貌
由圖1可以看出,等離子體表面處理后,復合材料表面露出的纖維、刻蝕痕跡和凹坑等缺陷略有增多,說明等離子體處理對復合材料表面具有一定的清洗與刻蝕作用。
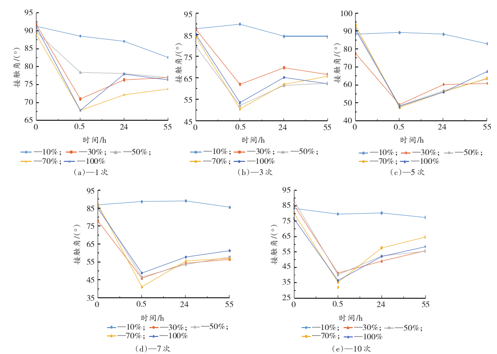
等離子體表面處理后復合材料表面水接觸角的變化
將復合材料用等離子體表面處理后,其表面水接觸角(誤差范圍±3°)隨處理次數、功率和處理后放置時間的變化規律如圖2所示。

圖2 等離子體處理后接觸角的變化
由圖2可以看出,當等離子體處理的次數和功率增加到一定程度時,復合材料表面水接觸角會顯著下降,處理功率為10%時,處理次數對接觸角的影響不大。隨處理次數的增加,不同功率之間的處理結果漸漸相互接近,當處理次數增加到5次及以后,各功率處理后結果差別不是很大(10%功率除外)。除了10%功率對接觸角影響不大外,其他處理功率和次數均可顯著降低接觸角(可至35°以下),并且隨處理后放置時間的延長,接觸角又慢慢回升,說明等離子處理具有時效性。對于接觸角降低的原因,許多文獻都進行了研究,認為高能態的空氣等離子體粒子轟擊高分子材料表面,使材料高分子鏈斷裂,發生氧化,引入了—COOH、C=O、—OH等極性基團,導致材料表面水接觸角降低,親水性提高,潤濕性得到改善。對于等離子體表面處理具有時效性的原因,目前研究普遍認為這種現象是由高分子材料表面的動態重組過程引起的,等離子處理后材料表面被引入大量極性基團,處于非常不穩定的高能狀態,為了降低表面能量,等離子處理后材料表面被引入的極性基團向材料內部發生翻轉,同時高分子材料內部部分未被處理的分子鏈段向表面遷移,這種過程一直持續到材料表面達到動態平衡狀態為止,故材料表面接觸角出現回升。
復合材料表面環氧涂料的涂覆
環氧涂料為雙組分無溶劑環氧鐵紅涂料,基本組分為雙酚A環氧樹脂與脂肪胺固化劑。采用刷涂的方式將環氧涂料均勻涂覆于復合材料表面,涂層厚度控制在80~100μm。
等離子體表面處理復合材料附著力測試
由表2可知,隨等離子體處理次數的增加,復合材料表面接觸角明顯下降,環氧涂料在復合材料上的附著力顯著提高。僅經過自來水和去離子水清洗的表面,拉開法附著力不到1MPa,經等離子體處理后,附著力可提高到9.03MPa(最高10.66MPa)。說明可以采用等離子體做復合材料的表面前處理,從而提高有機涂層在其上的附著力。

綜上可知:等離子體表面處理可大幅降低PP復合材料表面水接觸角,對材料表面具有一定的清洗和刻蝕作用,表面粗糙度略有增加。等離子體表面處理能改善PP復合材料表面潤濕性,大幅提高環氧涂層在復合材料上的附著力。
Nov. 17, 2025
Nov. 15, 2025
Nov. 15, 2025
Nov. 13, 2025
Copyright@ 2024深圳納恩科技有限公司 All Rights Reserved|
Sitemap
| Powered by
| 粵ICP備2022035280號m.pzdwgk.cn | 備案號:粵ICP備2022035280號m.pzdwgk.cn